“The New Regulator in Town: The Effect of Walmart’s Sustainability Mandate on Supplier Shareholder Value,” Journal of Marketing
그동안 박사 자격시험을 준비하면서 정리한 내용을 하나씩 풀고 있습니다. 주로 유명한 마케팅 논문들이 업로드될 예정입니다. Marketing Strategy 중에서도 Role of Marketing에 해당하는 마지막 번째 논문 "핵심 요약"입니다.
Katrijn Gielens, Inge Geyskens, Barbara Deleersnyder, & Max Nohe (2018), “The New Regulator in Town: The Effect of Walmart’s Sustainability Mandate on Supplier Shareholder Value,” Journal of Marketing, Vol. 82 (March 2018), 124–141
- Background — Sustainability mandates from dominant retailers
- Walmart asks for greener products and processes, and publicly stated its intent to tie its suppliers’ sustainability to their “compensation”
- RQ
- Whether and when suppliers are affected by a dominant retailer’s sustainability mandate
- Method
- Tested rollout of Walmart's sustainability mandate, with shareholder value.
- Event Study Method → CAR구함
- Use abnormal returns around the announcement date to capture the short-term financial impact of Walmart’s sustainability mandate on its suppliers.
- Four-factor model.
- Cumulative Abnormal Returns
- We use the Fama–French–Carhart four-factor model:
-


- RM 마켓 변화 등등 대비 → r 주가

- predict the daily abnormal returns for each supplier i at time t
- !

- We use the Fama–French–Carhart four-factor model:
- Cumulative Abnormal Returns
- Explaining Variation in Suppliers’ Short-Term Abnormal Returns
Predictors 생각해볼까?- Regress the standardized CARs

여기에 가정한 변수들 대입
- Correction for sample selection
고려하지 않은 supplier 변수 추가! SUPP - Correction for endogeneity of advertising and R&D.
- Gaussian copulas
- It directly models the joint distribution of the potentially endogenous regressor and the error term through a control function term
- Gaussian copulas
- Regress the standardized CARs
- Keywords & Results
- Retailer power over supplier — Effect on Costs and Revenues (X)
증명되지 않음- The main effect of Walmart’s power over the supplier is not significant (p > .10)
- Retailer’s attempts to exert power can be thwarted by the supplier’s power sources
- Short-term wise — mandate ∝ 1/ supplier's return
- We find that, on average, a dominant retailer’s sustainability mandate reduces a supplier’s short-term stock market abnormal returns.
- Although the majority of suppliers (64%) are harmed by a dominant retailer’s sustainability mandate, others (36%) benefit.
- Contingent on ..Supplier’s countervailing power
- Retailer’s power over the supplier vs Supplier’s countervailing power
- However, the effect is highly contingent on the interplay between the
- Retailer’s power over the supplier—which increases the likelihood that the retailer will extract rents from the supplier—and the
임대(rent)료 먹어 - supplier’s countervailing power—which may help it to withstand the retailer’s squeeze attempts.
- Retailer’s power over the supplier—which increases the likelihood that the retailer will extract rents from the supplier—and the
- However, the effect is highly contingent on the interplay between the
- Predictions
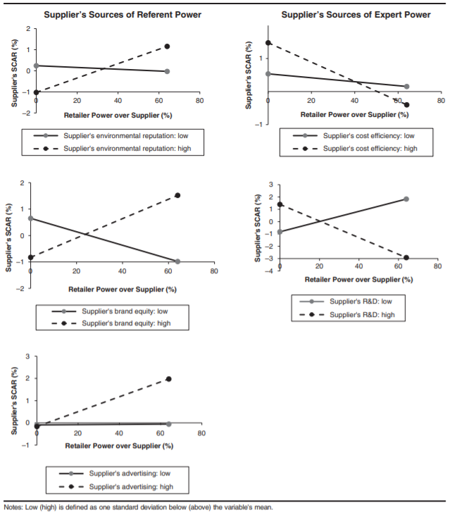
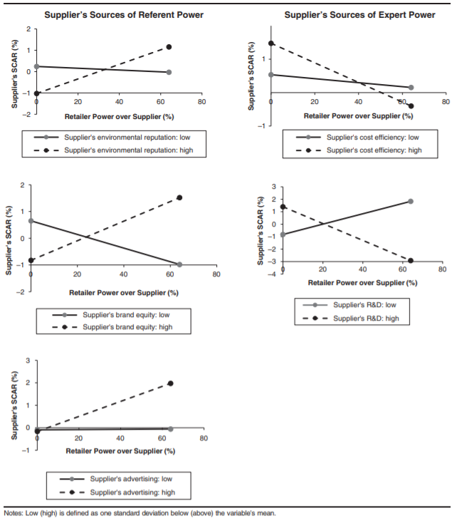
- Supplier's Sources of Referent Power — Effect on Revenues
우위를 점하는 능력- Referent power is the ability of one party to confer prestige upon another (Gaski 1986).
- (1) Environmental reputation
- Sustainability-promoting retailer seeks to rent that reputation
walmart가 원할 것 - A supplier’s environmental reputation captures whether it is already known for operating sustainably
- Sustainability-promoting retailer seeks to rent that reputation
- (2) Band Equity
고객 가치- Brand equity refers to the net present value of the incremental cash flows attributable to a brand, and to the firm owning that brand, compared with an identical product without brand name or brand-building efforts (Shankar, Azar, and Fuller 2008).
- A supplier with higher brand equity holds more countervailing power over the mandating retailer because the retailer’s own customers place value on the supplier’s brands (Shervani, Frazier, and Challagalla 2007).
- (3) Advertising
- Suppliers that advertise more can more readily resist a mandating retailer’s appropriation attempts.
- Supplier’s Sources of Expert Power — Effect on Costs
전문성- Cost efficiency
- Cost efficiency refers to a firm’s ability to combine various materials and activities in such a way that it can offer its final products at a lower cost (Dutta, Narasimhan, and Rajiv 1999).
- Suppliers that are more cost efficient can more readily resist a mandating retailer’s appropriation attempts.
- R&D
- Suppliers that invest more in R&D can more readily resist a mandating retailer’s appropriation attempts.
- Cost efficiency
- Supplier's Sources of Referent Power — Effect on Revenues
- Retailer’s power over the supplier vs Supplier’s countervailing power
- Simple Slope Analyses
- Retailer power over supplier — Effect on Costs and Revenues (X)

cf) 대학 & 대학원 입시 자기소개서를 "논문 연구"로 풍부하게 만들어 드립니다. 서비스가 궁금하다면?
https://beautifulresearch.tistory.com/39
대학, 대학원 입시 자소서 & 면접에 논문으로 깊이를 더해 드립니다! (입시, 면접, 대학자소서, 대
안녕하세요, KAIST 박사 Eager Beaver 입니다. "목표 학과에 열정"이 있다는 것을 드러내고 싶은데... 인터넷 검색으로 나오는 내용을 넣어보자니 출처도 애매하고.... 맞는 내용인지도 모르겠고.. 그렇
beautifulresearch.tistory.com
cf) 해외 논문 톱 저널 순서대로 신속하고 완벽하게 정리해 드립니다 (논문검색, 선행연구, 논문리서치, 사업근거마련) 서비스가 궁금하다면? https://beautifulresearch.tistory.com/40
해외 논문 톱 저널 순서대로 신속하고 완벽하게 정리! #선행논문 #논문검색 #논문리서치 #사업근
KAIST 박사 Eager Beaver입니다. 당신이 원하는 키워드의 논문, 톱 저널 순서대로 완벽 정리해 드립니다. [서비스 강점] 구글에서 하나하나 눌러 들어가도 보고, 스크롤도 내려도 보고.... 검색되는 논
beautifulresearch.tistory.com
— 해당 서비스를 이용하시면 Sci-Hub에 검색하여 다운받기에 용이하도록 DOI도 정리해드립니다
sci hub 참고: https://beautifulresearch.tistory.com/20
cf) 대학원생 스터디 톡방도 운영하고 있습니다 (계획, 기상 등 본인 원하는 것들 인증)! 연구에 외로운 대학원 동료분들 언제든 들어오세요! (https://open.kakao.com/o/gz2ZHI7c)
[글쓴이 소개]
서강대학교 수학&심리 복수전공 최우등 졸업
KAIST 마케팅 전공 석사 최우등 졸업, 박사과정 수료
자세한 소개는: https://beautifulresearch.tistory.com/7
'💟 심리학과 마케팅 이야기!' 카테고리의 다른 글


댓글